AI ALIGNMENT FORUM
AF

2819
Quintin Pope
Ω6657251
Message
Dialogue
Subscribe

Sequences

Posts

Sorted by New

Wikitag Contributions

Comments

Sorted by
Newest
Quintin's Alignment Papers Roundup
Shard Theory
4Quintin Pope's Shortform
3y
1
Quintin Pope's Shortform
Quintin Pope1y20

Idea for using current AI to accelerate medical research: suppose you were to take a VLM and train it to verbally explain the differences between two image data distributions. E.g., you could take 100 dog images, split them into two classes, insert tiny rectangles into class 1, feed those 100 images into the VLM, and then train it to generate the text "class 1 has tiny rectangles in the images". Repeat this for a bunch of different augmented datasets where we know exactly how they differ, aiming for a VLM with a general ability to in-context learn and verbally describe the differences between two sets of images. As training processes, keep making there be more and subtler differences, while training the VLM to describe all of them.

Then, apply the model to various medical images. E.g., brain scans of people who are about to develop dementia versus those who aren't, skin photos of malignant and non-malignant blemishes, electron microscope images of cancer cells that can / can't survive some drug regimen, etc. See if the VLM can describe any new, human interpretable features.

The VLM would generate a lot of false positives, obviously. But once you know about a possible feature, you can manually investigate whether it holds to distinguish other examples of the thing you're interested in. Once you find valid features, you can add those into the training data of the VLM, so it's no longer just trained on synthetic augmentations.

You might have to start with real datasets that are particularly easy to tell apart, in order to jumpstart your VLM's ability to accurately describe the differences in real data.

The other issue with this proposal is that it currently happens entirely via in context learning. This is inefficient and expensive (100 images is a lot for one model at once!). Ideally, the VLM would learn the difference between the classes by actually being trained on images from those classes, and learn to connect the resulting knowledge to language descriptions of the associated differences through some sort of meta learning setup. Not sure how best to do that, though.

Reply
Many arguments for AI x-risk are wrong
Quintin Pope2y*183

RLHF as understood currently (with humans directly rating neural network outputs, a la DPO) is very different from RL as understood historically (with the network interacting autonomously in the world and receiving reward from a function of the world).

This is actually pointing to the difference between online and offline learning algorithms, not RL versus non-RL learning algorithms. Online learning has long been known to be less stable than offline learning. That's what's primarily responsible for most "reward hacking"-esque results, such as the CoastRunners degenerate policy. In contrast, offline RL is surprisingly stable and robust to reward misspecification. I think it would have been better if the alignment community had been focused on the stability issues of online learning, rather than the supposed "agentness" of RL.

I was under the impression that PPO was a recently invented algorithm? Wikipedia says it was first published in 2017, which if true would mean that all pre-2017 talk about reinforcement learning was about other algorithms than PPO.

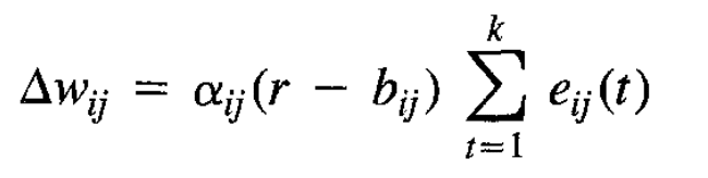
PPO may have been invented in 2017, but there are many prior RL algorithms for which Alex's description of "reward as learning rate multiplier" is true. In fact, PPO is essentially a tweaked version of REINFORCE, for which a bit of searching brings up Simple statistical gradient-following algorithms for connectionist reinforcement learning as the earliest available reference I can find. It was published in 1992, a full 22 years before Bostrom's book. In fact, "reward as learning rate multiplier" is even more clearly true of most of the update algorithms described in that paper. E.g., equation 11:

Here, the reward (adjusted by a "reinforcement baseline" bij) literally just multiplies the learning rate. Beyond PPO and REINFORCE, this "x as learning rate multiplier" pattern is actually extremely common in different RL formulations. From lecture 7 of David Silver's RL course:

To be honest, it was a major blackpill for me to see the rationalist community, whose whole whole founding premise was that they were supposed to be good at making efficient use of the available evidence, so completely missing this very straightforward interpretation of RL (at least, I'd never heard of it from alignment literature until I myself came up with it when I realized that the mechanistic function of per-trajectory rewards in a given batched update was to provide the weights of a linear combination of the trajectory gradients. Update: Gwern's description here is actually somewhat similar). 

implicitly assuming that all future AI architectures will be something like GPT+DPO is counterproductive.

When I bring up the "actual RL algorithms don't seem very dangerous or agenty to me" point, people often respond with "Future algorithms will be different and more dangerous". 

I think this is a bad response for many reasons. In general, it serves as an unlimited excuse to never update on currently available evidence. It also has a bad track record in ML, as the core algorithmic structure of RL algorithms capable of delivering SOTA results has not changed that much in over 3 decades. In fact, just recently Cohere published Back to Basics: Revisiting REINFORCE Style Optimization for Learning from Human Feedback in LLMs, which found that the classic REINFORCE algorithm actually outperforms PPO for LLM RLHF finetuning. Finally, this counterpoint seems irrelevant for Alex's point in this post, which is about historical alignment arguments about historical RL algorithms. He even included disclaimers at the top about this not being an argument for optimism about future AI systems.

Reply311
Counting arguments provide no evidence for AI doom
Quintin Pope2y64

I don't think this is a strawman. E.g., in How likely is deceptive alignment?, Evan Hubinger says:

We're going to start with simplicity. Simplicity is about specifying the thing that you want in the space of all possible things. You can think about simplicity as “How much do you have to aim to hit the exact thing in the space of all possible models?” How many bits does it take to find the thing that you want in the model space? And so, as a first pass, we can understand simplicity by doing a counting argument, which is just asking, how many models are in each model class?

First, how many Christs are there? Well, I think there's essentially only one, since there's only one way for humans to be structured in exactly the same way as God. God has a particular internal structure that determines exactly the things that God wants and the way that God works, and there's really only one way to port that structure over and make the unique human that wants exactly the same stuff.

Okay, how many Martin Luthers are there? Well, there's actually more than one Martin Luther (contrary to actual history) because the Martin Luthers can point to the Bible in different ways. There's a lot of different equivalent Bibles and a lot of different equivalent ways of understanding the Bible. You might have two copies of the Bible that say exactly the same thing such that it doesn't matter which one you point to, for example. And so there's more Luthers than there are Christs.

But there's even more Pascals. You can be a Pascal and it doesn't matter what you care about. You can care about anything in the world, all of the various different possible things that might exist for you to care about, because all that Pascal needs to do is care about something over the long term, and then have some reason to believe they're going to be punished if they don't do the right thing. And so there’s just a huge number of Pascals because they can care about anything in the world at all.

So the point is that there's more Pascals than there are the others, and so probably you’ll have to fix fewer bits to specify them in the space.

Evan then goes on to try to use the complexity of the simplest member of each model class as an estimate for the size of the classes (which is probably wrong, IMO, but I'm also not entirely sure how he's defining the "complexity" of a given member in this context), but this section seems more like an elaboration on the above counting argument. Evan calls it "a slightly more concrete version of essentially the same counting argument". 
 

And IMO, it's pretty clear that the above quoted argument is implicitly appealing to some sort of uniformish prior assumption over ways to specify different types of goal classes. Otherwise, why would it matter that there are "more Pascals", unless Evan thought the priors over the different members of each category were sufficiently similar that he could assess their relative likelihoods by enumerating the number of "ways" he thought each type of goal specification could be structured?

Look, Evan literally called his thing a "counting argument", Joe said "Something in this vicinity [of the hazy counting argument] accounts for a substantial portion of [his] credence on schemers [...] and often undergirds other, more specific arguments", and EY often expounds on the "width" of mind design space. I think counting arguments represent substantial intuition pumps for a lot of people (though often implicitly so), so I think a post pushing back on them in general is good.

Reply1
Counting arguments provide no evidence for AI doom
Quintin Pope2y*63

We argue against the counting argument in general (more specifically, against the presumption of a uniform prior as a "safe default" to adopt in the absence of better information). This applies to the hazy counting argument as well. 

We also don't really think there's that much difference between the structure of the hazy argument and the strict one. Both are trying to introduce some form of ~uniformish prior over the outputs of a stochastic AI generating process. The strict counting argument at least has the virtue of being precise about which stochastic processes it's talking about. 

If anything, having more moving parts in the causal graph responsible for producing the distribution over AI goals should make you more skeptical of assigning a uniform prior to that distribution. 

Reply
New report: "Scheming AIs: Will AIs fake alignment during training in order to get power?"
Quintin Pope2y8-2

I really don't like that you've taken this discussion to Twitter. I think Twitter is really a much worse forum for talking about complex issues like this than LW/AF.

I haven't "taken this discussion to Twitter". Joe Carlsmith posted about the paper on Twitter. I saw that post, and wrote my response on Twitter. I didn't even know it was also posted on LW until later, and decided to repost the stuff I'd written on Twitter here. If anything, I've taken my part of the discussion from Twitter to LW. I'm slightly baffled and offended that you seem to be platform-policing me?

Anyways, it looks like you're making the objection I predicted with the paragraphs:

One obvious counterpoint I expect is to claim that the "[have some internal goal x] [backchain from wanting x to the stuff needed to get x (doing well at training)]" steps actually do contribute to the later steps, maybe because they're a short way to compress a motivational pointer to "wanting" to do well on the training objective.

I don't think this is how NN simplicity biases work. Under the "cognitive executions impose constraints on parameter settings" perspective, you don't actually save any complexity by supposing that the model has some motive for figuring stuff out internally, because the circuits required to implement the "figure stuff out internally" computations themselves count as additional complexity. In contrast, if you have a view of simplicity that's closer to program description length, then you're not counting runtime execution against program complexity, and so a program that has short length in code but long runtime can count as simple.

In particular, when I said "maybe because they're a short way to compress a motivational pointer to "wanting" to do well on the training objective." I think this is pointing at the same thing you reference when you say "The entire question is about what the easiest way is to produce that distribution in terms of the inductive biases."

I.e., given the actual simplicity bias of models, what is the shortest (or most compressed) way of specifying "a model that starts by trying to do well in training"? And my response is that I think the model pays a complexity penalty for runtime computations (since they translate into constraints on parameter values which are needed to implement those computations). Even if those computations are motivated by something we call a "goal", they still need to be implemented in the circuitry of the model, and thus also constrain its parameters.

Also, when I reference models whose internal cognition looks like "[figure out how to do well at training] [actually do well at training]", I don't have sycophantic models in particular in mind. It also includes aligned models, since those models do implement the "[figure out how to do well at training] [actually do well at training]" steps (assuming that aligned behavior does well in training). 

Reply
New report: "Scheming AIs: Will AIs fake alignment during training in order to get power?"
Quintin Pope2y*169

Reposting my response on Twitter (To clarify, the following was originally written as a Tweet in response to Joe Carlsmith's Tweet about the paper, which I am now reposting here):

I just skimmed the section headers and a small amount of the content, but I'm extremely skeptical. E.g., the "counting argument" seems incredibly dubious to me because you can just as easily argue that text to image generators will internally create images of llamas in their early layers, which they then delete, before creating the actual asked for image in the later layers. There are many possible llama images, but "just one" network that straightforwardly implements the training objective, after all.

The issue is that this isn't the correct way to do counting arguments on NN configurations. While there are indeed an exponentially large number of possible llama images that an NN might create internally, there are an even more exponentially large number of NNs that have random first layers, and then go on to do the actual thing in the later layers. Thus, the "inner llamaizers" are actually more rare in NN configuration space than the straightforward NN.

The key issue is that each additional computation you speculate an NN might be doing acts as an additional constraint on the possible parameters, since the NN has to internally contain circuits that implement those computations. The constraint that the circuits actually have to do "something" is a much stronger reduction in the number of possible configurations for those parameters than any additional configurations you can get out of there being multiple "somethings" that the circuits might be doing.

So in the case of deceptive alignment counting arguments, they seem to be speculating that the NN's cognition looks something like:

[have some internal goal x] [backchain from wanting x to the stuff needed to get x (doing well at training)] [figure out how to do well at training] [actually do well at training]

and in comparison, the "honest" / direct solution looks like:

[figure out how to do well at training] [actually do well at training]

and then because there are so many different possibilities for "x", they say there are more solutions that look like the deceptive cognition. My contention is that the steps "[have some internal goal x] [backchain from wanting x to the stuff needed to get x (doing well at training)]" in the deceptive cognition are actually unnecessary, and because implementing those steps requires that one have circuits that instantiate those computations, the requirement that the deceptive model perform those steps actually *constrains* the number of parameter configurations that implement the deceptive cognition, which reduces the volume of deceptive models in parameter space.

One obvious counterpoint I expect is to claim that the "[have some internal goal x] [backchain from wanting x to the stuff needed to get x (doing well at training)]" steps actually do contribute to the later steps, maybe because they're a short way to compress a motivational pointer to "wanting" to do well on the training objective.

I don't think this is how NN simplicity biases work. Under the "cognitive executions impose constraints on parameter settings" perspective, you don't actually save any complexity by supposing that the model has some motive for figuring stuff out internally, because the circuits required to implement the "figure stuff out internally" computations themselves count as additional complexity. In contrast, if you have a view of simplicity that's closer to program description length, then you're not counting runtime execution against program complexity, and so a program that has short length in code but long runtime can count as simple.

@jkcarlsmith does seem more sympathetic to the "parameters as complexity" view than to the "code length as complexity" view. However, I go further and think that the "parameters as complexity" view actively points against deceptive alignment.

I also think NNs have an even stronger bias for short paths than you might expect from just the "parameters as complexity" view. Consider a problem that can either be solved with a single circuit of depth n, or by two parallel circuits of depth n/2 (so both solutions must set the values of an equal number of parameters, but one solution is more parallel than the other). I claim there are far more parameter configurations that implement the parallel solution than parameter configurations that implement the serial solution.

This is because the parallel solution has an entire permutation group that's not available to the serial solution: the two parallel circuits can be moved to different relative depths with respect to each other, whereas all the parts of the serial solution must have fixed relative depths. Thus, the two parallel circuits represent less of a constraint on the possible configurations of the NN, and so there are far more NNs that implement the parallel solution.

As a consequence, I expect there are significant "short depth" biases in the NN simplicity prior, consistent with empirical results such as: https://arxiv.org/abs/1605.06431

Finally, I'm extremely skeptical of claims that NNs contain a 'ghost of generalized instrumental reasoning', able to perform very competent long term hidden scheming and deduce lots of world knowledge "in-context". I think current empirical results point strongly against that being plausible.

For example, the "reversal curse" results (training on "A is B" doesn't lead to models learning "B is A"). If the ghost can't even infer from "A is B" to "B is A", then I think stuff like inferring from "I have a goal x", to "here is the specific task I must perform in order to maximize my reward" is pretty much out of the question. Thus, stories about how SGD might use arbitrary goals as a way to efficiently compress an (effective) desire for the NN to silently infer lots of very specific details about the training process seem incredibly implausible to me.

I expect objections of the form "I expect future training processes to not suffer from the reversal curse, and I'm worried about the future training processes."

Obviously people will come up with training processes that don't suffer from the reversal curse. However, comparing the simplicity of the reversal curse to the capability of current NNs is still evidence about the relative power of the 'instrumental ghost' in the model compared to the external capabilities of the model. If a similar ratio continues to hold for externally superintelligent AIs, then that casts enormous doubt on e.g., deceptive alignment scenarios where the model is internally and instrumentally deriving huge amounts of user-goal-related knowledge so that it can pursue its arbitrary mesaobjectives later down the line. I'm using the reversal curse to make a more generalized update about the types of internal cognition that are easy to learn and how they contribute to external capabilities.

Some other Tweets I wrote as part of the discussion:

Tweet 1:

The key points of my Tweet are basically "the better way to think about counting arguments is to compare constraints on parameter configurations", and "corrected counting arguments introduce an implicit bias towards short, parallel solutions", where both "counting the constrained parameters", and "counting the permutations of those parameters" point in that direction.

Tweet 2:

I think shallow depth priors are pretty universal. E.g., they also make sense from a perspective of "any given step of reasoning could fail, so best to make as few sequential steps as possible, since each step is rolling the dice", as well as a perspective of "we want to explore as many hypotheses as possible with as little compute as possible, so best have lots of cheap hypotheses".

I'm not concerned about the training for goal achievement contributing to deceptive alignment, because such training processes ultimately come down to optimizing the model to imitate some mapping from "goal given by the training process" -> "externally visible action sequence". Feedback is always upweighting cognitive patterns that produce some externally visible action patterns (usually over short time horizons).

In contrast, it seems very hard to me to accidentally provide sufficient feedback to specify long-term goals that don't distinguish themselves from short term one over short time horizons, given the common understanding in RL that credit assignment difficulties actively work against the formation of long term goals. It seems more likely to me that we'll instill long term goals into AIs by "scaffolding" them via feedback over shorter time horizons. E.g., train GPT-N to generate text like "the company's stock must go up" (short time horizon feedback), as well as text that represents GPT-N competently responding to a variety of situations and discussions about how to achieve long-term goals (more short time horizon feedback), and then putting GPT-N in a continuous loop of sampling from a combination of the behavioral patterns thereby constructed, in such a way that the overall effect is competent long term planning.

The point is: long term goals are sufficiently hard to form deliberately that I don't think they'll form accidentally.

Tweet 3:

...I think the llama analogy is exactly correct. It's specifically designed to avoid triggering mechanistically ungrounded intuitions about "goals" and "tryingness", which I think inappropriately upweight the compellingness of a conclusion that's frankly ridiculous on the arguments themselves. Mechanistically, generating the intermediate llamas is just as causally upstream of generating the asked for images, as "having an inner goal" is causally upstream of the deceptive model doing well on the training objective. Calling one type of causal influence "trying" and the other not is an arbitrary distinction.

Tweets 4 / 5:

My point about the "instrumental ghost" wasn't that NNs wouldn't learn instrumental / flexible reasoning. It was that such capabilities were much more likely to derive from being straightforwardly trained to learn such capabilities, and then to be employed in a manner consistent with the target function of the training process. What I'm arguing *against* is the perspective that NNs will "accidentally" acquire such capabilities internally as a convergent result of their inductive biases, and direct them to purposes/along directions very different from what's represented in the training data. That's the sort of stuff I was talking about when I mentioned the "ghost".

 

What I'm saying is there's a difference between a model that can do flexible instrumental reasoning because it's faithfully modeling a data distribution with examples of flexible instrumental reasoning, versus a model that acquired hidden flexible instrumental reasoning because NN inductive biases say the convergent best way to do well on tasks is to acquire hidden flexible instrumental reasoning and apply it to the task, even when the task itself doesn't have any examples of such.

Reply
Genetic fitness is a measure of selection strength, not the selection target
Quintin Pope2y1711

This is a great post! Thank you for writing it.

There's a huge amount of ontological confusion about how to think of "objectives" for optimization processes. I think people tend to take an inappropriate intentional stance and treat something like "deliberately steering towards certain abstract notions" as a simple primitive (because it feels introspectively simple to them). This background assumption casts a shadow over all future analysis, since people try to abstract the dynamics of optimization processes in terms of their "true objectives", when there really isn't any such thing.

Optimization processes (or at least, evolution and RL) are better thought of in terms of what sorts of behavioral patterns were actually selected for in the history of the process. E.g., @Kaj_Sotala's point here about tracking the effects of evolution by thinking about what sorts of specific adaptations were actually historically selected for, rather than thinking about some abstract notion of inclusive genetic fitness, and how the difference between modern and ancestral humans seems much smaller from this perspective.

I want to make a similar point about reward in the context of RL: reward is a measure of update strength, not the selection target. We can see as much by just looking at the update equations for REINFORCE (from page 328 of Reinforcement Learning: An Introduction):

The reward[1] is literally a (per step) multiplier of the learning rate. You can also think of it as providing the weights of a linear combination of the parameter gradients, which means that it's the historical action trajectories that determine what subspaces of the parameters can potentially be explored. And due to the high correlations between gradients (at least compared to the full volume of parameter space), this means it's the action trajectories, and not the reward function, that provides most of the information relevant for the NN's learning process. 

From Survival Instinct in Offline Reinforcement Learning:

on many benchmark datasets, offline RL can produce well-performing and safe policies even when trained with "wrong" reward labels, such as those that are zero everywhere or are negatives of the true rewards. This phenomenon cannot be easily explained by offline RL's return maximization objective. Moreover, it gives offline RL a degree of robustness that is uncharacteristic of its online RL counterparts, which are known to be sensitive to reward design.

Trying to preempt possible confusion:

I expect some people to object that the point of the evolutionary analogy is precisely to show that the high-level abstract objective of the optimization process isn't incorporated into the goals of the optimized product, and that this is a reason for concern because it suggests an unpredictable/uncontrollable mapping between outer and inner optimization objectives.

My point here is that, if you want to judge an optimization process's predictability/controllability, you should not be comparing some abstract notion of the process's "true outer objective" to the result's "true inner objective". Instead, you should consider the historical trajectory of how the optimization process actually adjusted the behaviors of the thing being optimized, and consider how predictable that thing's future behaviors are, given past behaviors / updates. 

@Kaj_Sotala argues above that this perspective implies greater consistency in human goals between the ancestral and modern environments, since the goals evolution actually historically selected for in the ancestral environment are ~the same goals humans pursue in the modern environment. 

For RL agents, I am also arguing that thinking in terms of the historical action trajectories that were actually reinforced during training implies greater consistency, as compared to thinking of things in terms of some "true goal" of the training process. E.g., Goal Misgeneralization in Deep Reinforcement Learning trained a mouse to navigate to cheese that was always placed in the upper right corner of the maze and found that it would continue going to the upper right even when the cheese was moved. 

This is actually a high degree of consistency from the perspective of the historical action trajectories. During training, the mouse continually executed the action trajectories that navigated it to the upper right of the board, and continued to do the exact same thing in the modified testing environment.

  1. ^

    Technically it's the future return in this formulation, and current SOTA RL algorithms can be different / more complex, but I think this perspective is still a more accurate intuition pump than notions of "reward as objective", even for setups where "reward as a learning rate multiplier" isn't literally true.

Reply6
We don't understand what happened with culture enough
Quintin Pope2y3-16

I really don't want to spend even more time arguing over my evolution post, so I'll just copy over our interactions from the previous times you criticized it, since that seems like context readers may appreciate.

In the comment sections of the original post:

Your comment

[very long, but mainly about your "many other animals also transmit information via non-genetic means" objection + some other mechanisms you think might have caused human takeoff]

My response

I don't think this objection matters for the argument I'm making. All the cross-generational information channels you highlight are at rough saturation, so they're not able to contribute to the cross-generational accumulation of capabilities-promoting information. Thus, the enormous disparity between the brain's with-lifetime learning versus evolution cannot lead to a multiple OOM faster accumulation of capabilities as compared to evolution.

When non-genetic cross-generational channels are at saturation, the plot of capabilities-related info versus generation count looks like this:

with non-genetic information channels only giving the "All info" line a ~constant advantage over "Genetic info". Non-genetic channels might be faster than evolution, but because they're saturated, they only give each generation a fixed advantage over where they'd be with only genetic info. In contrast, once the cultural channel allows for an ever-increasing volume of transmitted information, then the vastly faster rate of within-lifetime learning can start contributing to the slope of the "All info" line, and not just its height.

Thus, humanity's sharp left turn.

In Twitter comments on Open Philanthropy's announcement of prize winners:

Your tweet

But what's the central point, than? Evolution discovered how to avoid the genetic bottleneck myriad times; also discovered potentially unbounded ways how to transmit arbitrary number of bits, like learning-teaching behaviours; except humans, nothing foomed. So the updated story would be more like "some amount of non-genetic/cultural accumulation is clearly convergent and is common, but there is apparently some threshold crossed so far only by humans. Once you cross it you unlock a lot of free energy and the process grows explosively". (&the cause or size of treshold is unexplained)

(note: this was a reply and part of a slightly longer chain)

My response

Firstly, I disagree with your statement that other species have "potentially unbounded ways how to transmit arbitrary number of bits". Taken literally, of course there's no species on earth that can actually transmit an *unlimited* amount of cultural information between generations. However, humans are still a clear and massive outlier in the volume of cultural information we can transmit between generations, which is what allows for our continuously increasing capabilities across time.

Secondly, the main point of my article was not to determine why humans, in particular, are exceptional in this regard. The main point was to connect the rapid increase in human capabilities relative to previous evolution-driven progress rates with the greater optimization power of brains as compared to evolution. Being so much better at transmitting cultural information as compared to other species allowed humans to undergo a "data-driven singularity" relative to evolution. While our individual brains and learning processes might not have changed much between us and ancestral humans, the volume and quality of data available for training future generations did increase massively, since past generations were much better able to distill the results of their lifetime learning into higher-quality data.

This allows for a connection between the factors we've identified are important for creating powerful AI systems (data volume, data quality, and effectively applied compute), and the process underlying the human "sharp left turn". It reframes the mechanisms that drove human progress rates in terms of the quantities and narratives that drive AI progress rates, and allows us to more easily see what implications the latter has for the former.

In particular, this frame suggests that the human "sharp left turn" was driven by the exploitation of a one-time enormous resource inefficiency in the structure of the human, species-level optimization process. And while the current process of AI training is not perfectly efficient, I don't think it has comparably sized overhangs which can be exploited easily. If true, this would mean human evolutionary history provides little evidence for sudden increases in AI capabilities.

The above is also consistent with rapid civilizational progress depending on many additional factors: it relies on resource overhand being a *necessary* factor, but does not require it to be alone *sufficient* to accelerate human progress. There are doubtless many other factors that are relevant, such as a historical environment favorable to progress, a learning process that sufficiently pays attention to other members of ones species, not being a purely aquatic species, and so on. However, any full explanation of the acceleration in human progress of the form: 
"sudden progress happens exactly when (resource overhang) AND (X) AND (Y) AND (NOT Z) AND (W OR P OR NOT R) AND..." 
is still going to have the above implications for AI progress rates.

There's also an entire second half to the article, which discusses what human "misalignment" to inclusive genetic fitness (doesn't) mean for alignment, as well as the prospects for alignment during two specific fast takeoff (but not sharp left turn) scenarios, but that seems secondary to this discussion.

Reply
My Objections to "We’re All Gonna Die with Eliezer Yudkowsky"
Quintin Pope2y12

Addressing this objection is why I emphasized the relatively low information content that architecture / optimizers provide for minds, as compared to training data. We've gotten very far in instantiating human-like behaviors by training networks on human-like data. I'm saying the primacy of data for determining minds means you can get surprisingly close in mindspace, as compared to if you thought architecture / optimizer / etc were the most important.

Obviously, there are still huge gaps between the sorts of data that an LLM is trained on versus the implicit loss functions human brains actually minimize, so it's kind of surprising we've even gotten this far. The implication I'm pointing to is that it's feasible to get really close to human minds along important dimensions related to values and behaviors, even without replicating all the quirks of human mental architecture.

Reply
My Objections to "We’re All Gonna Die with Eliezer Yudkowsky"
Quintin Pope2y10

I believe the human visual cortex is actually the more relevant comparison point for estimating the level of danger we face due to mesaoptimization. Its training process is more similar to the self-supervised / offline way in which we train (base) LLMs. In contrast, 'most abstract / "psychological"' are more entangled in future decision-making. They're more "online", with greater ability to influence their future training data.

I think it's not too controversial that online learning processes can have self-reinforcing loops in them. Crucially however, such loops rely on being able to influence the externally visible data collection process, rather than being invisibly baked into the prior. They are thus much more amenable to being addressed with scalable oversight approaches.

Reply
Load More
Roko's Basilisk
3 years ago
(+1578)
25Counting arguments provide no evidence for AI doom
2y
114
50QAPR 5: grokking is maybe not *that* big a deal?
2y
8
27Research agenda: Supervising AIs improving AIs
2y
0
66Evolution provides no evidence for the sharp left turn
3y
12
4Quintin Pope's Shortform
3y
1
79My Objections to "We’re All Gonna Die with Eliezer Yudkowsky"
3y
72
27A Short Dialogue on the Meaning of Reward Functions
3y
0
26QAPR 4: Inductive biases
3y
0
17QAPR 3: interpretability-guided training of neural nets
3y
0
24Quintin's alignment papers roundup - week 2
3y
0
Load More